張新朋 谷 安 王立朝 方志軍
(青島卓東機械科技有限公司,青 島 266400)
摘要:通過分析DXF文件的數據結構,利用Visual C++6.0為開發工具,設計了系統與AutoCAD的接口程序,獲取零件圖形的幾何信息。完成了數控沖壓加工的自動編程,實現了折彎板料展開后的尺寸計算,得出沖壓孔的準確位置,自動生成數控沖床加工系統的程序代碼。采用該系統更大地方便了數控沖壓加工。
關鍵詞:DXF文件 自動編程 數控沖床
O前言
目前,我國生產母排的數控沖床主要依靠進口,但是進口的數控沖床價格昂貴,因此自主研發生產此數控沖床具有重要意義。
目前該類數控轉塔沖床的自動編程系統多采用圖形輸入的方法.主要有兩種形式:一種是基于AutoCAD的二次開發,另一種是利用編程軟件來讀取AutoCAD的信息。本文介紹的系統就是通過讀取AutoCAD的DXF格式文件,實現集圖形編輯、程序生成予一體的自動綰程系統。該系統以Visual C++6.0為開發工具進行編程,提供了簡潔友好的人機操作界面。
1文件的讀取
DXF (drawing exchange file)文件是AutoCAD的一種支持數據交換、按規定格式編寫而成的ASCII或二進制文件格式,
用于在應用程序之間共享圖形數據。AutoCAD環境下生成的DXF文件主要有6個置(SECTION),依次是標題(HEADER)段、類( CLASSES)段、表(TABLES)段、塊(BLOCKS)段、(ENTITIES)段和對象(OBJECTS)段。
數控沖床在編制程序時需要的只是圖形的幾何信息,而DXF文件中的ENIITIES段保存了圖形圖像的所有幾何信息,因此只要編寫ENTITIES段就可完成DXF文件的準確輸出,其余段可忽略。在讀取DXF文件時只需要提取直線的兩個端點.圓弧的圓心坐標、半徑、起始角、終止角,圓的圓心坐標、半徑,矩形的4個頂點等。DXF文件數據讀取和處理流程圖見圖t。
各個圖形元素信息采用雙向鏈表來保存.結構如下:

所有的幾何信息都由Read_dxf()函數讀取。
2零件尺寸的計算
一般數控沖床只需直接得到要加工的孔的位置;但該系統獲得孔的位置前需要對讀入的圖形作展開處理(見圖2)。
零件從板料到最后零件成形要經過兩道工序:首先母捧直板料在數控沖床上完成切頭、沖孔、切斷,然后把沖床送出的零件送入折彎機完成折彎工序(沖壓完成后的零件示意圖見圖3);所以在計算沖孔的中心位置前先要計算折彎板料折彎前的實際長度,即板料的展開尺寸。該尺寸分兩部分來計算:
(1)把零件圖主視圖上各段尺寸相加得到基本尺寸Ll;(2)計算板料在折彎部分產生伸長量L2,即長度補償部分。由于飯科在折彎處仲長,所以在折彎前直板料的實際長度工應為Ll-L2。
由于CAD繪圖實體在DXF文件中是接其繪圖的順序存
放的H.而繪圖的順序是不固定的,因此必須對實體圖形各個元素進行排序,將直線元素保存在雙向鏈表中,讓各個元素的首節點和尾節點首尾相連組成封閉環.可以得到一個新的鏈表pl。這個鏈表中保存的信息就是零件圖主視圖的外輪廓線。然后找出該鏈表中直線長度等于板料厚度的元素,即主視圖中兩側短豎線,并以此為分界點,提取出一個新鏈表p2。p2中所包含的元素為主視圖中的5段直線,最后將p2中每條直線的長度相加即可得尺寸Ll。部分程序如下:
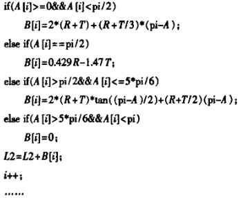
折彎部分伸長量與板科的厚度r、折彎角A、折彎半徑R等因素有關。板料厚度r和折彎半徑尺由外部輸入參數得到,折彎角^通過計算鏈表p2中各相鄰直線的夾角獲得,并將各種夾角的值放在教組A中,得到每個折夸處的伸長量放在數組B中。可以根據公式分別進行計算:
將板料的每個折彎處的伸長量相加,得到折彎后板料總的伸長量L2.將基本尺寸L1和伸長置L2相減,就可得到板料折彎前直板料的實際尺寸。計算出直板料尺寸后,獲得耍加工孔中心的準確位置,并按照孔的類型和坐標順序進行排序保存在鏈表中,加工時按照此順序進行。
3加工程序縮寫
通過讀取DXF文件,可以得到要加工的孔中心相對于原點的坐標,并根據孔的類型和大小選擇模具型號,根據要加工孔的位置和自動選擇的模具號碼,來確定送料軸、模具軸和油缸軸的運動距離。我們建立如下結構來保存加工代碼:
其中,A.B,C,D定義為bool型變量,值為l時動作,值為0時不動作;U.y.可定義為浮點型變量,用來表示三軸各自的位移,在各自的坐標系中.均采用絕對位移。最后生成的代碼格式為
AO BO CO DO UO vo w0.字母后邊的數字由系統自動生成。此加工代碼經過譯碼后,將代碼轉化為散控沖床的運動。
部分譯碼程序如下:
4自動編程實例
這里給出一個加工實例,先通過AuLoCAD繪制零件圖,然后生成DXF文件。在操作界面上輸入板料厚度7.,折彎半徑R等參數,經過前面所述的自動編程,可以DXF文件提取圖形信息,點擊生成代碼按鈕,即可得到加工代碼:此外,通過圖形預覽,還可以在界面上顯示零件圖。最后結果見圖4。
5結束語
本系統基于AutoCAD平臺,以Visual c++為開發工具,成功地實現了三軸數控沖床的自動編程。該系統通過對DXF文件數據的讀取、排序、計算等處理生成適于零件加工程序生成的幾何信息,保證了信息輸入的方便、準確和高效,一定程度上實現了CAD與數控編程的信息集成,在實際應用中效果良好。